横向充氮气调工艺数值模拟研究及评价
- 时间:2016-08-04
邱化禹 赵会义 石天玉 王远成 杨君 魏雷
目前,世界各国对食品安全和环境保护越来越重视,世界粮农组织要求各成员国逐步减少直至全部禁止在粮食储藏过程中使用化学药剂,而气调储藏技术是国际公认的绿色储藏技术。气调贮藏是一种成熟的技术,可以延长贮藏时间,保持食品的天然品质。
由于粮堆是由粮食颗粒堆积而成,是一种典型的多孔介质。充氮气调本质上是氮气在多孔介质内的流动过程。通风过程中粮堆内部的流动是一个非常复杂的过程,它与粮堆热物性参数和粮食生物特性等多种因素有关,而且涉及到流体力学、传热学、工业通风、生物学以及多孔介质内部的流动传递理论。
目前,国内采用数值模拟的方法研究横向通风流动特性的工作还不是很多,而数值模拟是国外近年发展起来的一种研究流动、传热质等现象的新方法,它可以形象地再现流动、热湿传递过程的情景。也为分析和预测粮食储藏、粮仓生态系统的变化规律提供了一个良好的数值分析和优化工具。计算流体动力学(CFD)模拟结果不仅可以提供粮食储藏中空气流动过程中各种热力学参数与流体流动的详细信息,而且还可以为优化储粮通风系统及工艺、探究储粮生态系统的发生发展规律提供了新的方法。
本实验利用CFD有限体积法对横向通风过程中的氮气流动和氮气浓度进行数值模拟研究,为横向通风系统的优化设计提供依据。
1 物理模型
模拟对象为杭州某粮库P24号仓,仓房尺寸为:长49.5m,宽为18m,装粮高度为5m。储粮品种为稻谷,水分11.2%,杂质为0.6%。物理模型如图1所示。

图1 仓房物理模型
图1中N2进出口尺寸均为直径65mm的圆管,进出口均在南侧,虚线表示北侧通风笼由一根在粮面上的管道连接。由于南侧有两扇门,所以南侧通风笼比北侧通风笼少两根立通风管道(南侧17根,北侧19根)。同时,由于数值模拟的是三维模型,为了便于分析数值模拟结果,分别选取X=25000mm、Y=9000mm、Z=2500mm三个不同截面上的氮气浓度进行分析。
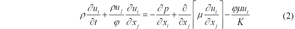
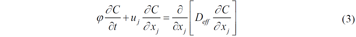
2 仓储粮堆中的氮气流动及对流扩散数学模型
2.1 连续性方程

2.2 动量方程

2.3 氮气浓度对流扩散方程


3 数值方法及初始边界条件的建立
3.1 边界条件
粮堆顶部的覆膜和墙壁设为不可渗透壁面;进口氮气流量为60m3/h,浓度为99.8%;进口设为速度入口,出口为自由出流。
3.2 数值方法
对流项采用QUICK格式,扩散项采用二阶中心差分格式,时间项采用Adams-Bashforth格式,为了防止迭代过程数值的发散和不稳定,对动量方程、标量输运方程采用了欠松弛技术,压力与速度耦合采用SIMPLE算法。计算域采用非均匀网格,建筑物壁面附近采用较密集的网格,计算域中心区域采用较稀疏的网格。
4 数值模拟结果与分析
对所选取X=25000mm、Y=9000mm、Z=2500mm三个不同截面上的氮气浓度进行分析,各个截面示意图如图2所示。
4.1 不同时刻氮气浓度在各个截面的分布
图2中黑色箭头表示氮气的流动方向,从图2可以看出,在充氮初始阶段(0.6039h),氮气主要在进口一侧的通风笼中,大约3.2372h时,氮气充满进口侧的通风笼,此后,氮气进入粮堆(多孔介质)流动,直到大约60个小时时,氮气到达另一侧的通风笼,并通过出口流出。此时粮堆内部氮气浓度达到98%。
同时,从图2还可以看到,由于位于两个门一侧的通风笼数量少于均匀布置的进口侧的通风笼数量,而且位于门一侧的通风笼沿着粮仓长度方向并不是均匀布置的,氮气在粮堆中迁移时,造成位于两个门附近的氮气浓度略低于其它部位的浓度,导致门附近粮堆内部的氮气浓度在充氮接近完成时略低于其它位置处氮气浓度,造成氮气浓度分布的均匀性降低。
(1)充氮时间:0.6039h(h为小时)

X=25m截面 Z=2.5m截面
(2)充氮时间:3.2372h

X=25m截面 Z=2.5m截面
(3)充氮时间:60.9778h

X=25m截面 Z=2.5m截面
图2 不同时刻不同截面上氮气浓度分布
4.2 氮气流动的流场分布规律
由于充氮流量为60m3/h,粮堆内部的表观速度为6.67×10-5m/s,所以,Z=2.5m的截面上的速度很难用矢量图描述,只能采用流动方向图表示,故图3只表示流动方向和流动规律,而不说明速度大小和均匀程度,其中黑色箭头表示氮气的来流方向。由图3可知在水平切面上和纵向切面氮气流动流场各方向速度分布是比较均匀的,通风笼处有较大的速度梯度,进入通风笼后速度减慢趋于均匀,粮堆内氮气均匀扩散。流动的均匀性使用均匀度指数描述。

(a)Z=2.5m截面 (b)X=25m截面
图3 氮气流动示意图
4.3 粮堆中氮气平均浓度和出口氮气浓度随充氮时间的变化规律
由图4可以看出,充氮气时间大约60h(2.5天), 出口氮气浓度可以达到98%,此时,粮堆内部氮气平均浓度99.5%。根据充氮储粮规范(仓内浓度达95%以上)要求,此时充氮过程可以结束。

图4 氮气浓度随时间变化规律
4.4 充氮工艺的性能评价
充氮工艺的评价采用均匀性指数来评价氮气流动和氮气浓度分布的均匀程度,均匀性指数采用Weltens等建立的评价流动分布特性的均匀性指数来表示(流速/混合的均匀性程度),计算公式为:

其中,为均匀性指数,在0和1之间变化,
越大说明流动或氮气浓度分布越均匀;
为各观测点的速度或浓度;
为全部观测点的平均速度或平均浓度;
观测点数,本研究27个观测点,粮堆内部共三层观测点,最底层距离仓底1m,最上层距离粮面1m,中间层高度为粮堆高度的一半。图5为每层观测点布置示意图,每层9个观测点。每层(水平切面),北侧第一行距离通风管道1m,西侧第一列距离墙1m,左右对称,上下对称。

图5 每层观测点布置示意图
由模拟结果得出数据,利用公式(4)计算出充氮结束时(60.9778h),X、Y、Z各个截面方向上流动和氮气浓度的均匀性指数如下表1。

5 结论
横行通风系统充氮过程,在60小时时各个面上的流动和氮气浓度都非常均匀,说明横向通风充氮工艺可以达到均匀充氮的目的。本研究为今后利用横向通风进行充氮气调提供了理论依据,有利于低氧充氮工艺的大面积推广,优化工艺流程,降低能耗,提高了氮气的利用率,最终提高经济效益。
| 相关附件 |


